Arbeitsblatt: Wortarten Lernkontrolle

Material-Details

Lernkontrolle zum Thema Wortarten aus dem Sprachstarken 5
Deutsch
Grammatik
5. Schuljahr
1 Seiten

Statistik

214226
71
4
08.12.2025

Autor/in

asudenur kirmizi
Land: Schweiz
Registriert vor 2006

Downloads Arbeitsblätter / Lösungen / Zusatzmaterial

Die Download-Funktion steht nur registrierten, eingeloggten Benutzern/Benutzerinnen zur Verfügung.

Textauszüge aus dem Inhalt:

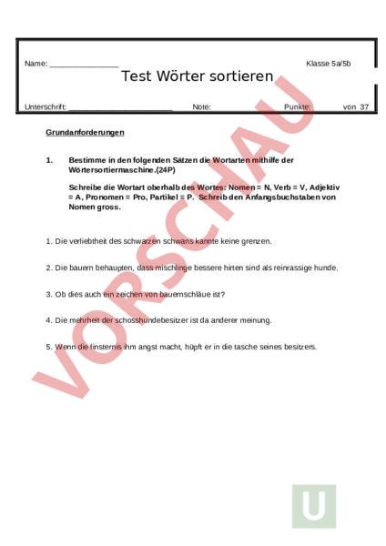
Name: Klasse 5a/5b Test Wörter sortieren Unterschrift: Note: Punkte: Grundanforderungen 1. Bestimme in den folgenden Sätzen die Wortarten mithilfe der Wörtersortiermaschine.(24P) Schreibe die Wortart oberhalb des Wortes: Nomen N, Verb V, Adjektiv A, Pronomen Pro, Partikel P. Schreib den Anfangsbuchstaben von Nomen gross. 1. Die verliebtheit des schwarzen schwans kannte keine grenzen. 2. Die bauern behaupten, dass mischlinge bessere hirten sind als reinrassige hunde. 3. Ob dies auch ein zeichen von bauernschläue ist? 4. Die mehrheit der schosshundebesitzer ist da anderer meinung. 5. Wenn die finsternis ihm angst macht, hüpft er in die tasche seines besitzers. von 37 2. Untersuche die Wörter mit Hilfe der Wörtersortiermaschine. Ordne sie dann in die Tabelle ein. Begründe deine Wahl. (7P) Schäferhunde kann man nicht in handtaschen herumtragen. Wort Wortart Begründung/Probe Erweiterte Anforderungen 3. Kreuze an, was trifft zu? (6P) Wort mit setzen wade die Nomen Verb Adjektiv Pronomen Partikel kann ende